示例
|
0.2%屈服强度 (N/mm2) |
抗拉强度 (N/mm2) |
延伸率 (%) |
硬度 (HRC) |
备注 | |
|---|---|---|---|---|---|
| 冷轧板 | 774 | 1099 | 25 | 32 | - |
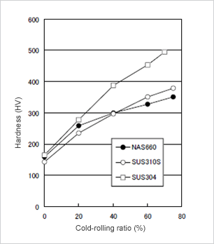
加工硬化特性
SUH 660的加工硬化特性与S310S相同,可进行与S310S一样的冷加工。
时效硬化特性
下图为在各个温度条件下保持16hr时后的SUH 660时效硬化程度。固溶热处理材料在700℃左右的温度下进行热处理,可获得最高的硬度,冷轧材料可以在在更低的温度条件下获得最高的硬度。
高温强度
高温短时间拉伸试验
蠕变强度
对固溶热处理材料进行时效处理(720℃×16hr)后得到的试验值示例。
| 试验温度(℃) | 断裂强度(N/mm2) | 延伸率(%) | 蠕变强度(N/mm2) | ||
|---|---|---|---|---|---|
| 0.5%总应变 | 1.0%总应变 | ||||
| a) 100 hr 强度特性 | 538 | 689 | 3 | 559 | 634 |
| 593 | 562 | 3 | 525 | 551 | |
| 649 | 434 | 5 | 365 | 414 | |
| 704 | 304 | 12 | 207 | 244 | |
| 732 | 241 | 28 | ― | ― | |
| 816 | 90 | 55 | ― | ― | |
| b) 1000 hr 强度特性 | 538 | 599 | 3 | 537 | 585 |
| 593 | 490 | 3 | 469 | 482 | |
| 649 | 317 | 9 | 241 | 282 | |
| 704 | 207 | 24 | ― | 155 | |
| 732 | 148 | 35 | ― | ― | |
| 816 | 58 | ― | ― | ― | |

